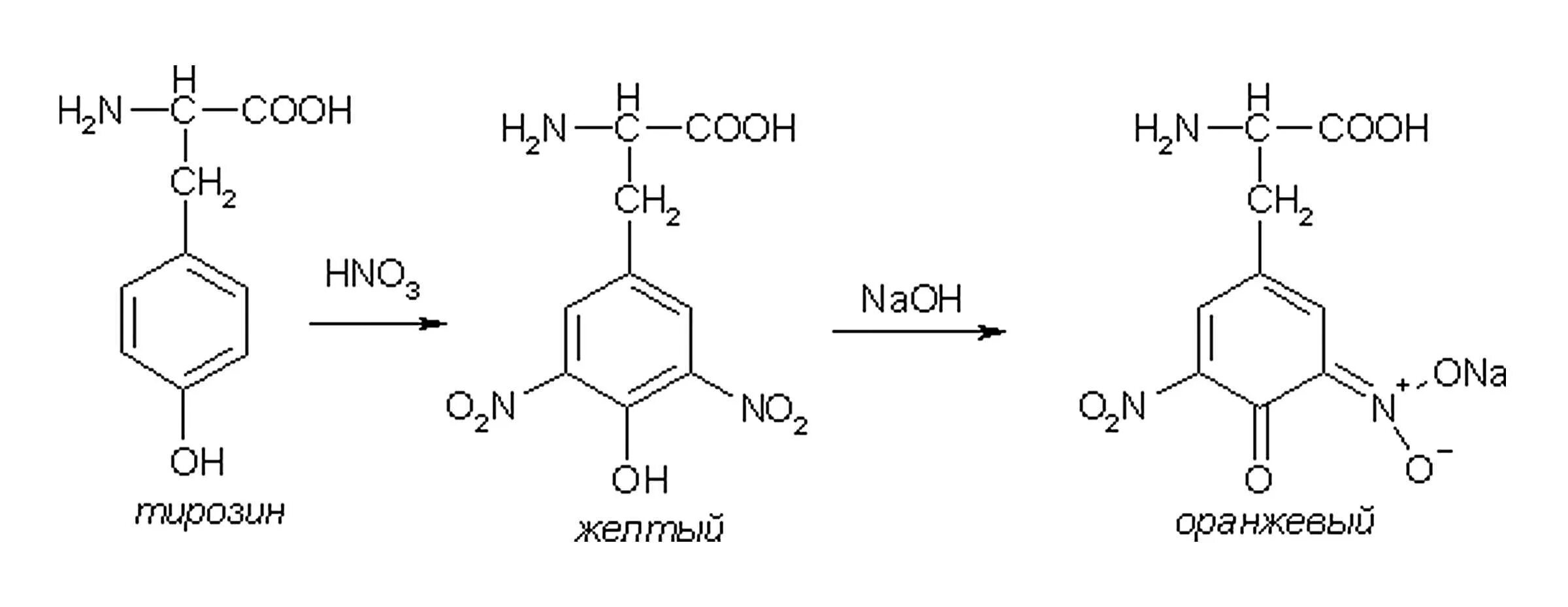
Реакция на серосодержащие аминокислоты