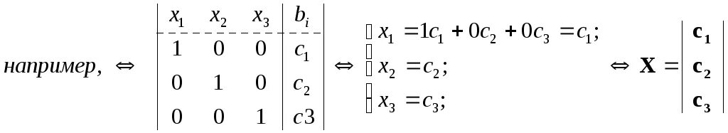
Решение методом гаусса жордана систем линейных