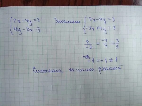
Решить систему 3х 4у 7