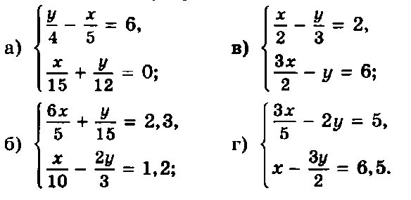
Решить систему методом сложения 3х 2у 3