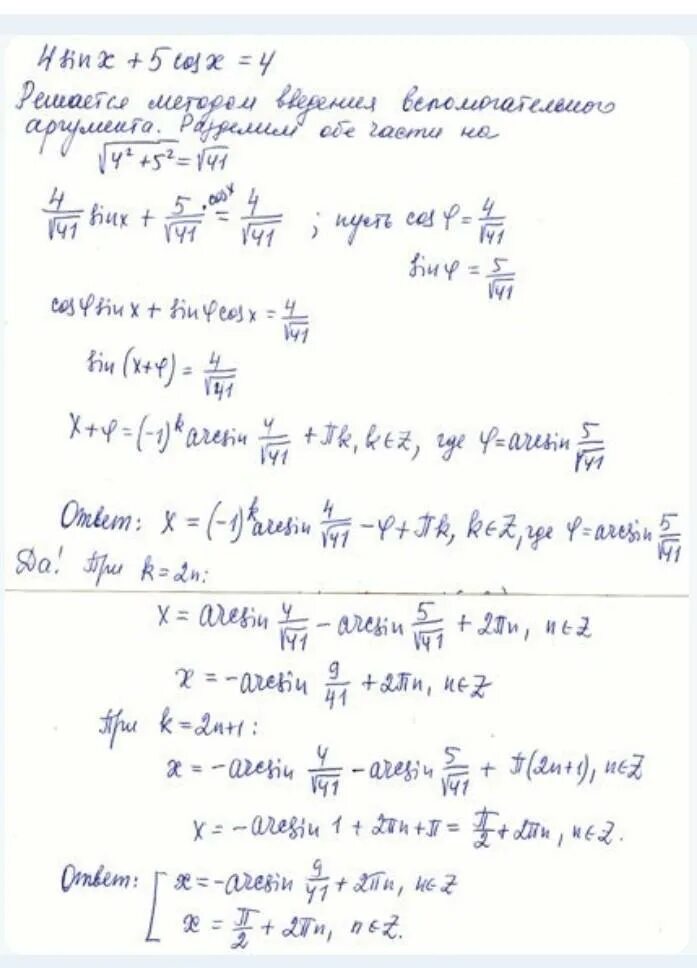
Решить уравнение sinx 3 4