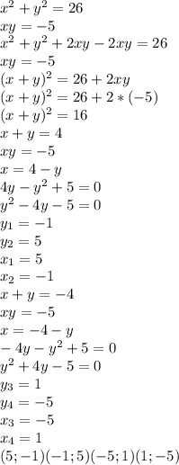
Решите систему уравнений x y xy 5