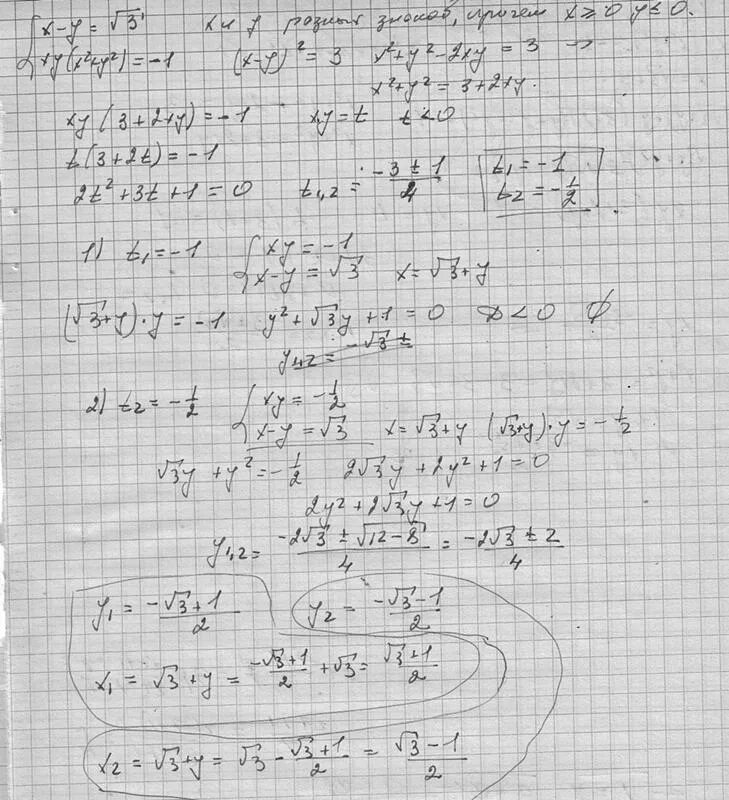
Решите систему x2 y2 37