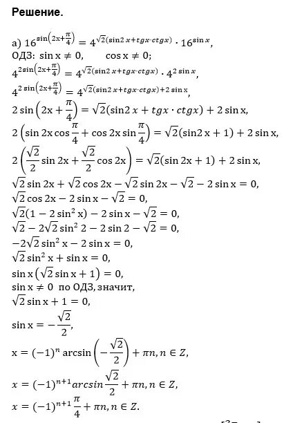
Решите уравнение 1 2 sin2x 0