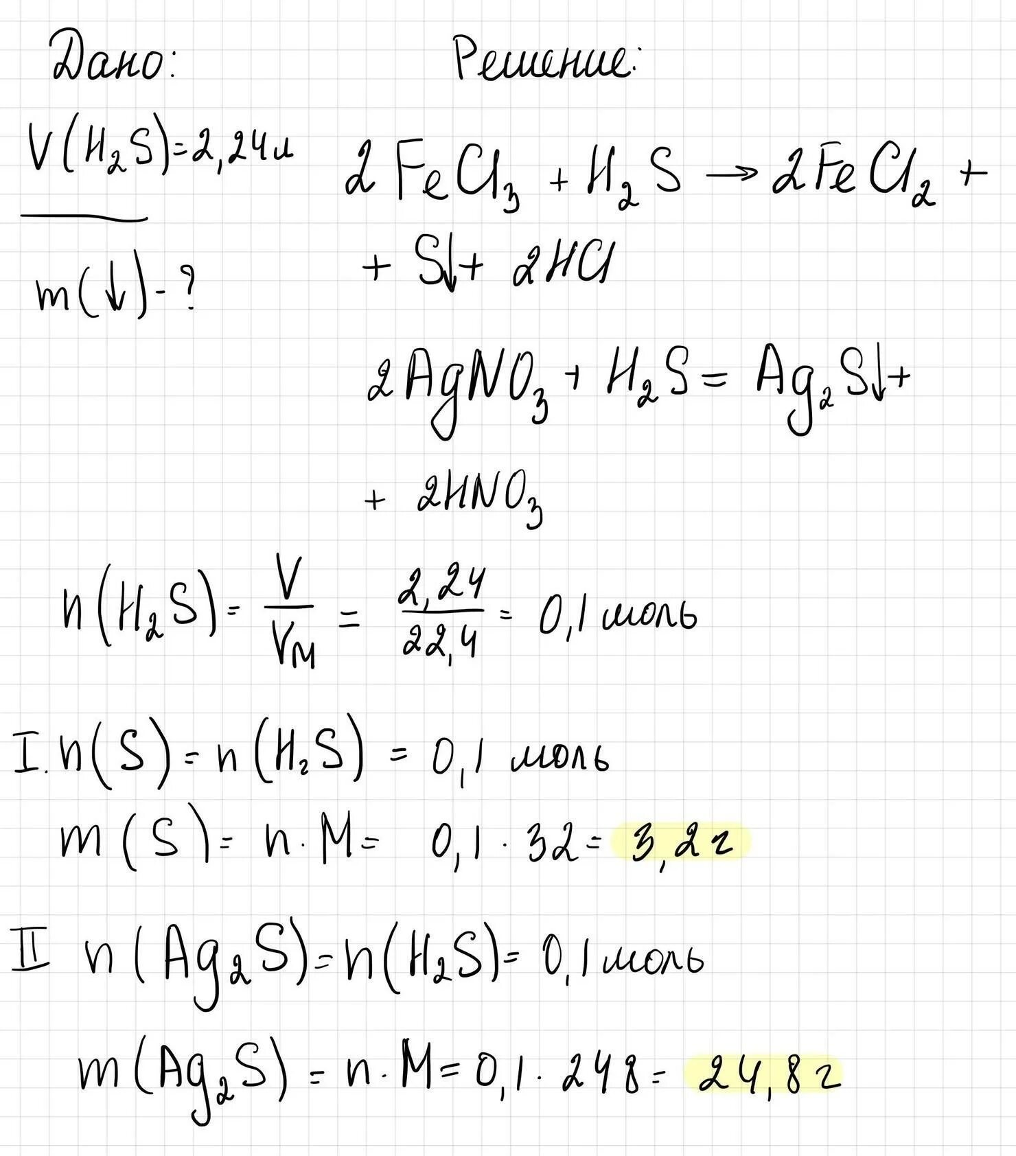
Сероводород объемом 11.2 л содержащий 10 примесей