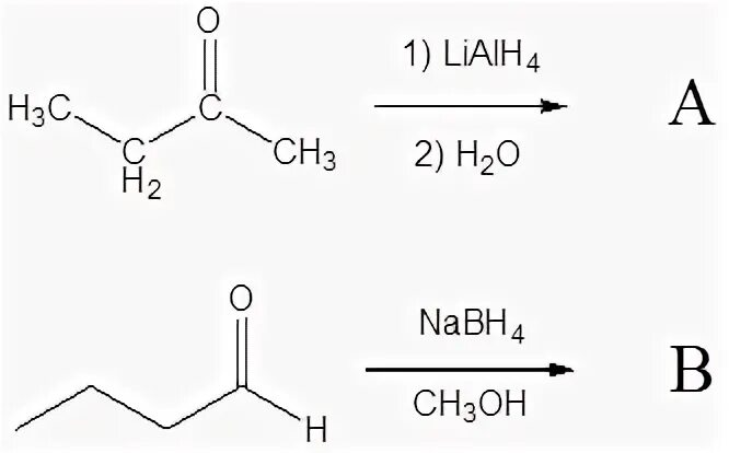
Схема реакции формула продукта реакции