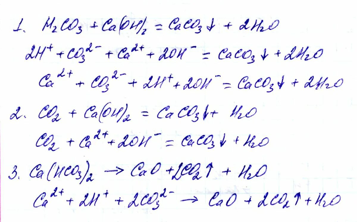
Sio2 hco3