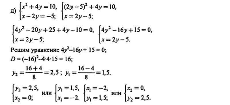
Системы уравнений второй степени контрольная