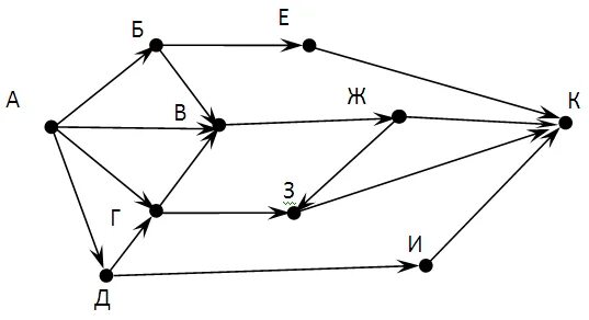
Сколько существует различных путей проходящих