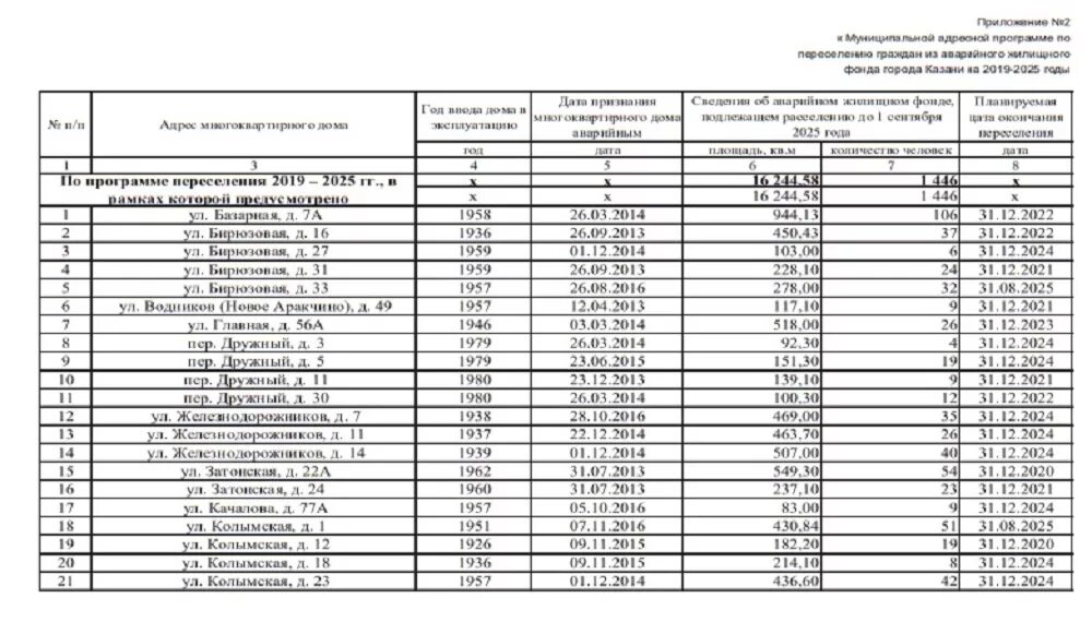
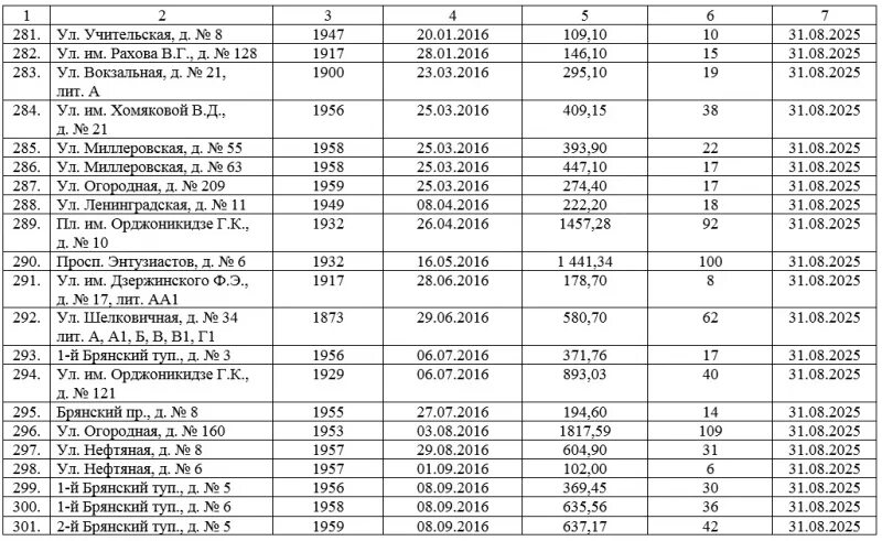
Снос домов 2025 года список