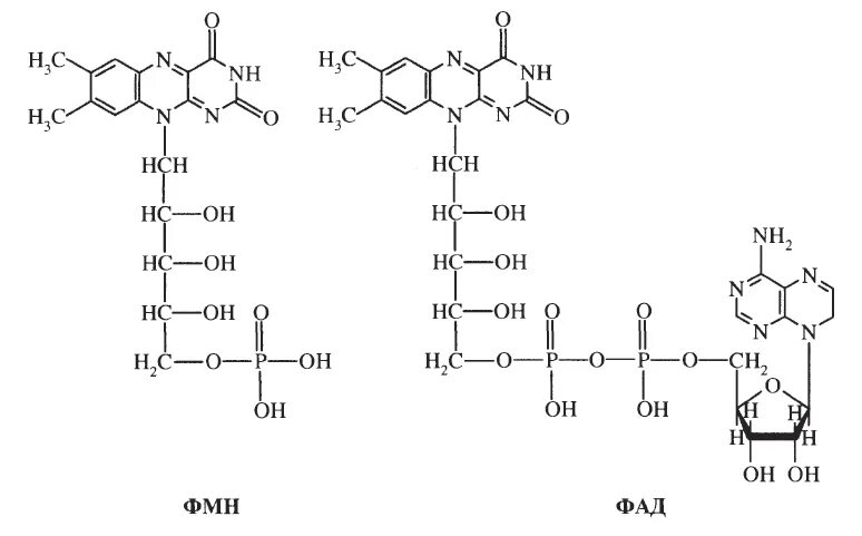
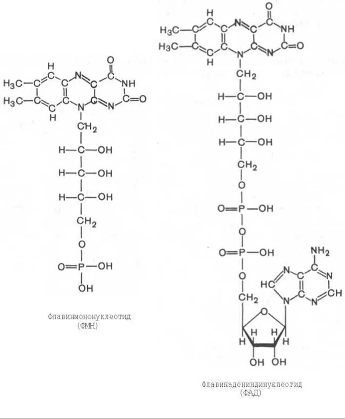
Соединение входящее в структуру фад