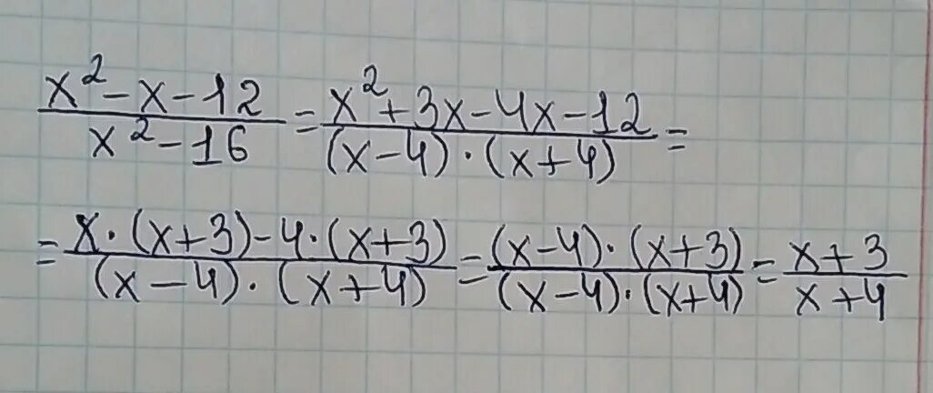
Сократить дробь x2 x 2 x 1