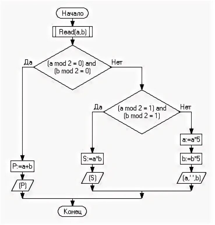
Составить программу решения следующей задачи