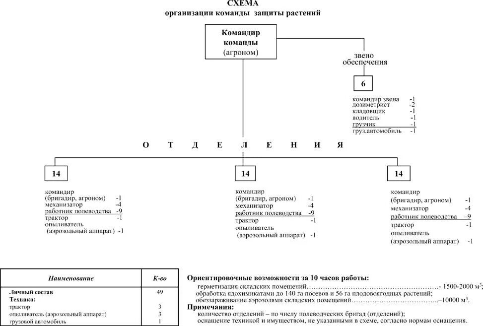
Табель оснащения нештатных формирований