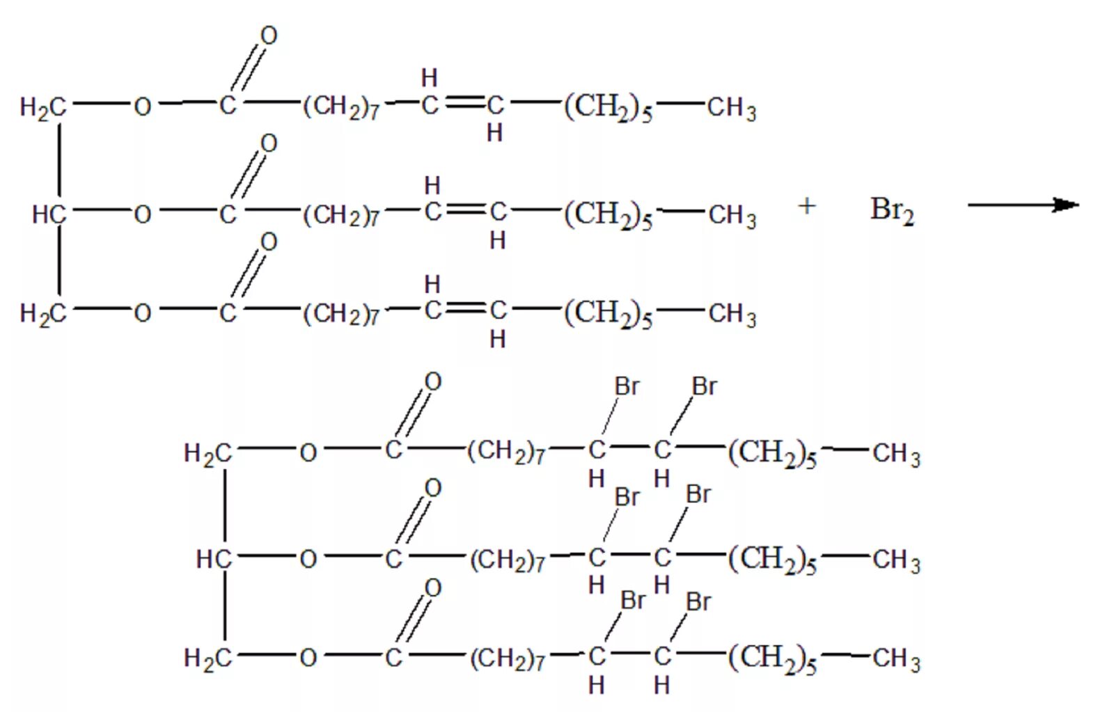
Триолеин превращается в тристеарин в результате реакции