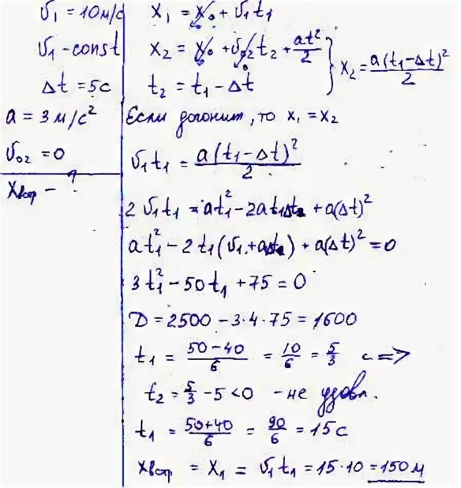
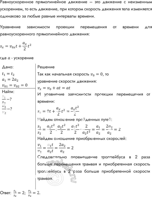
Троллейбус движущийся со скоростью 10 м с