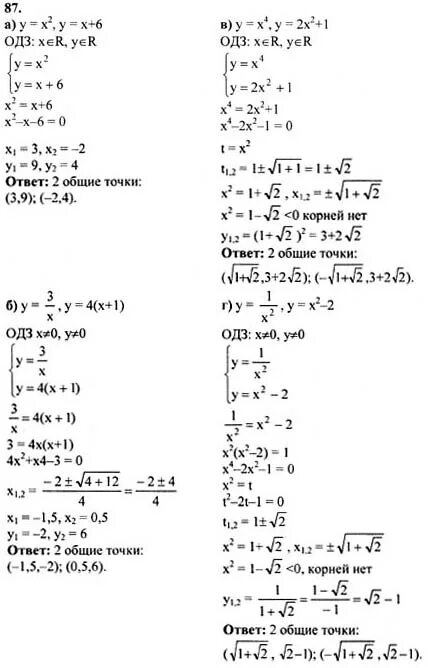
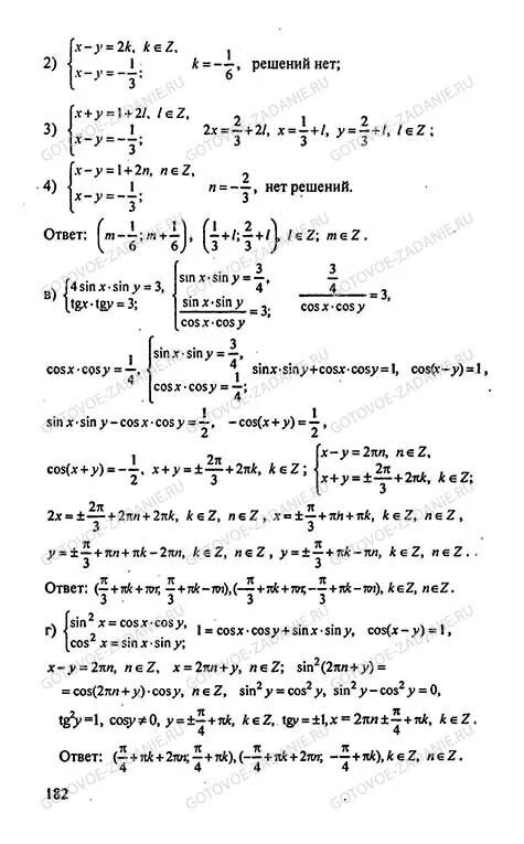
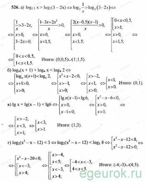
Учебник по математике колмогоров 10 11