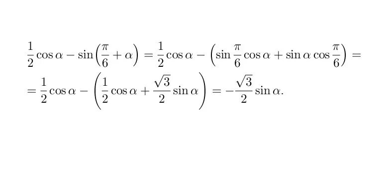
Упростить выражение sin 6