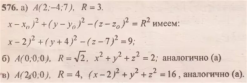
Уравнение сферы радиуса r с центром а