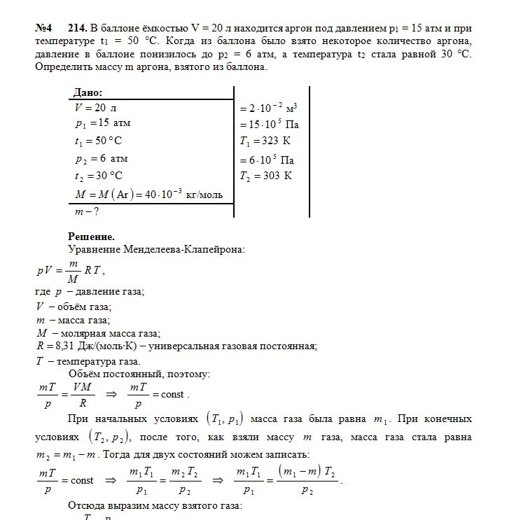
В баллоне вместимостью 0.03 м3 находится газ