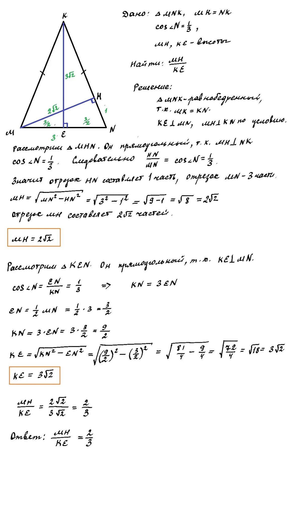
В треугольнике mnk mk nk