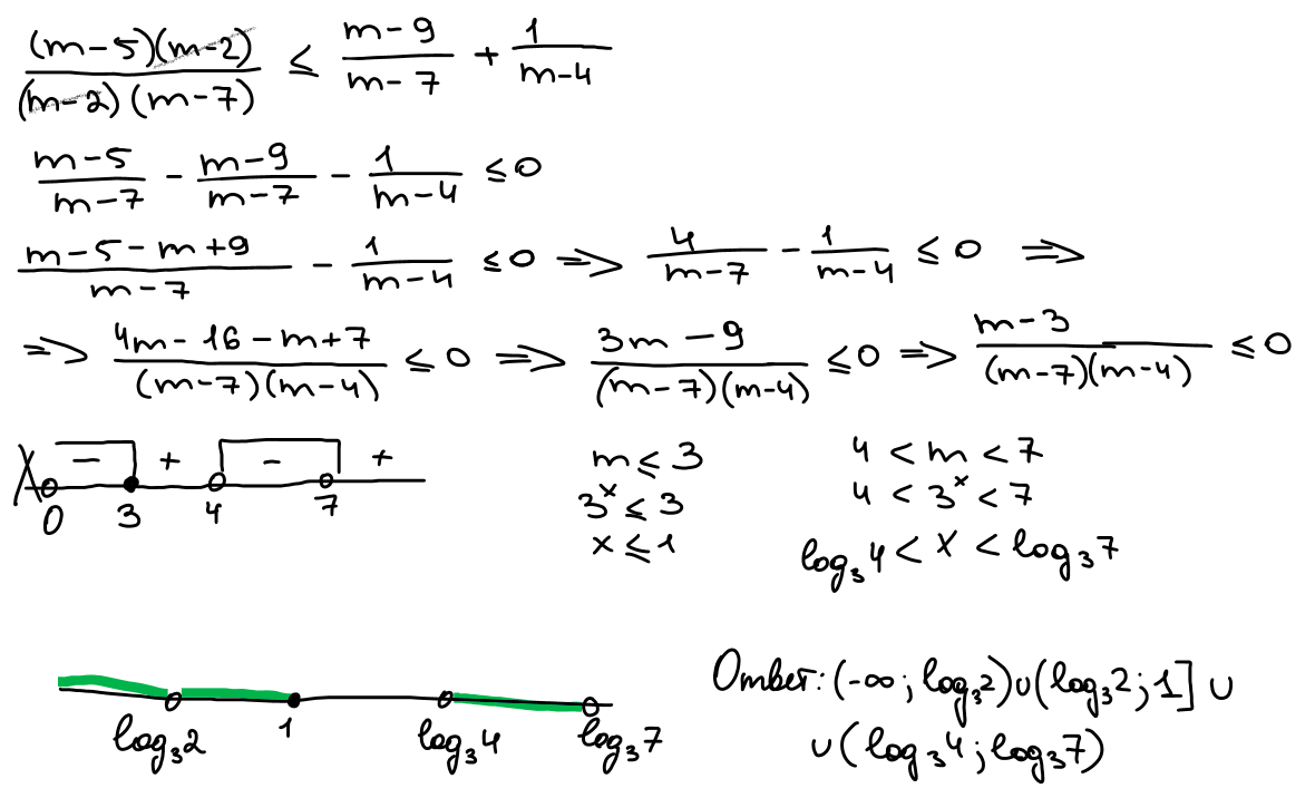
Все типы задания 15 математика 2025