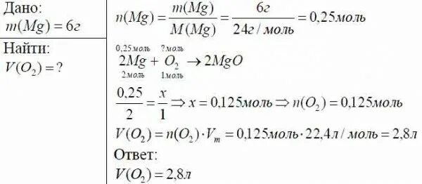
Вычислим объем кислорода н у