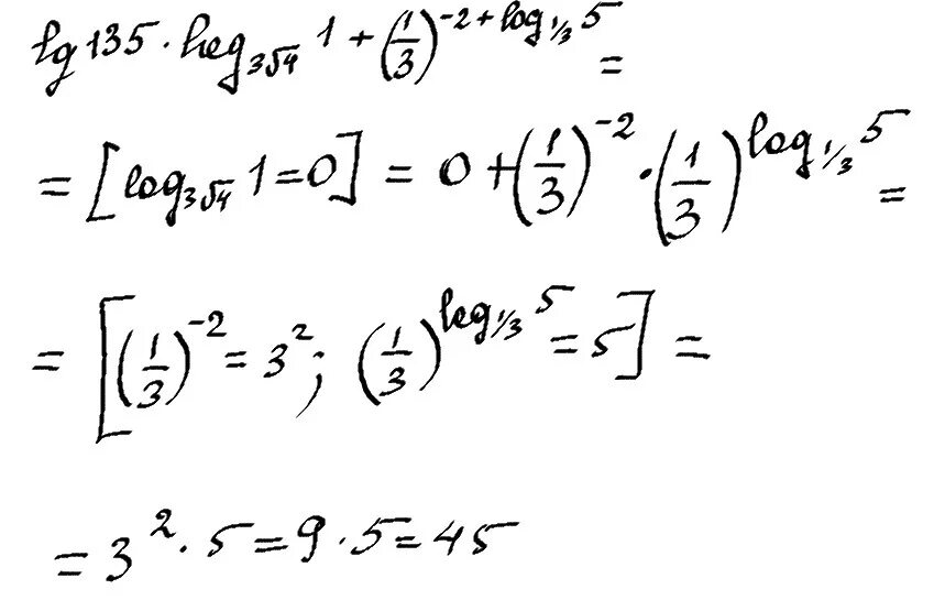
Вычислить log 1 3