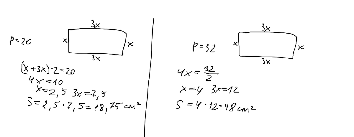
Вычислить площадь прямоугольника периметр которого равен 96