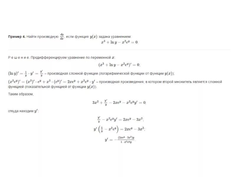
Вычислить производную заданной функции