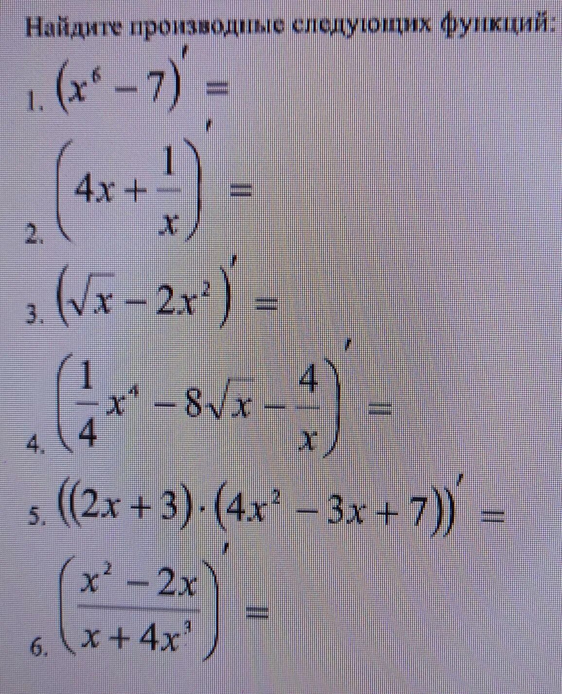
Вычислить производные следующих функций