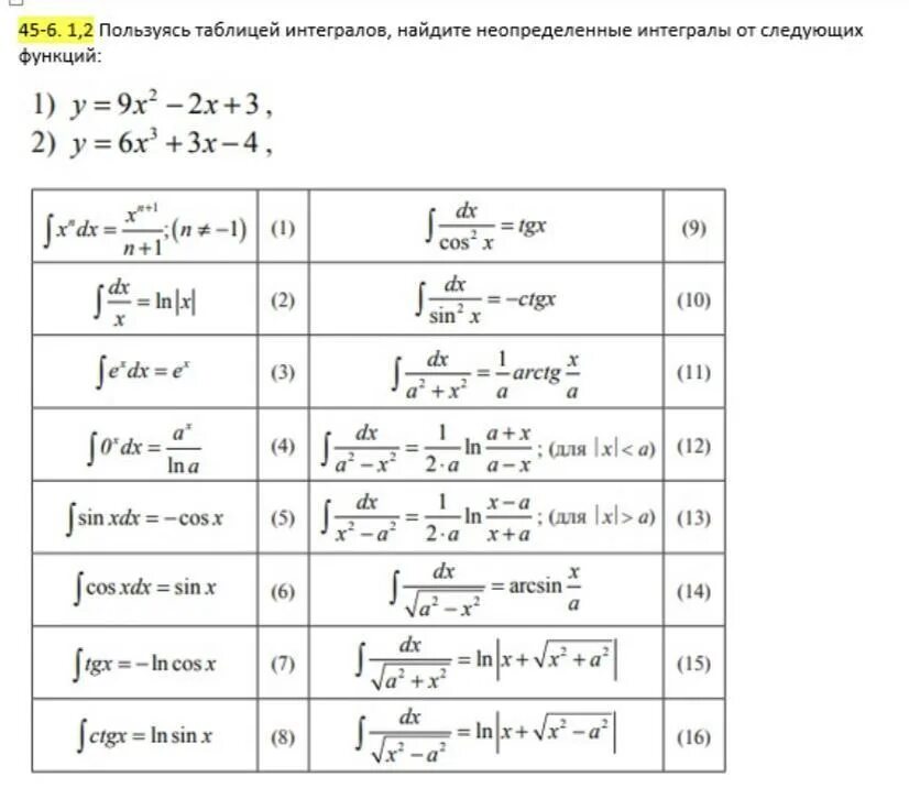
Вычислить следующий интеграл