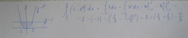
Вычислите интеграл от 1 до 2