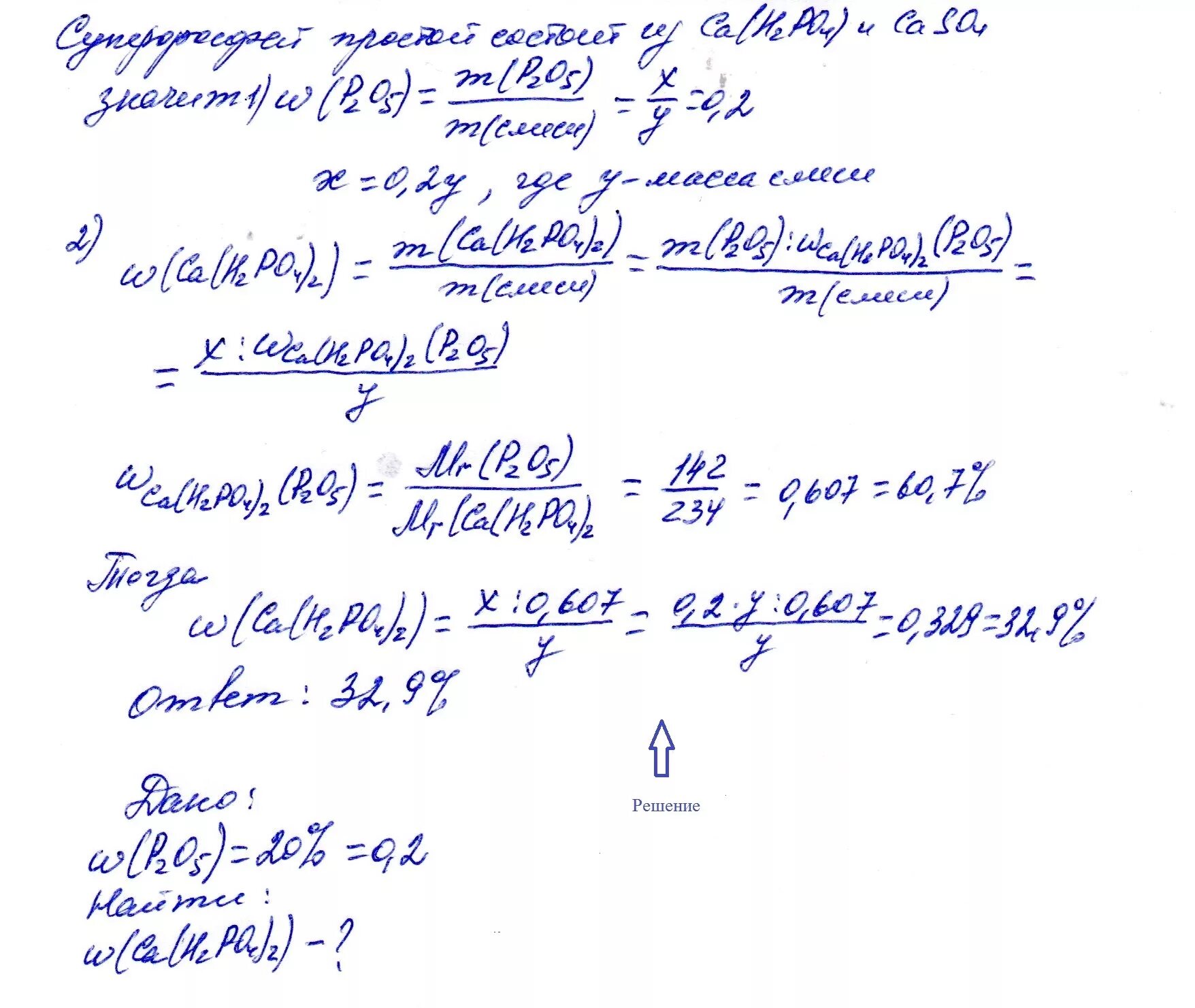
Вычислите массовую долю фосфата кальция