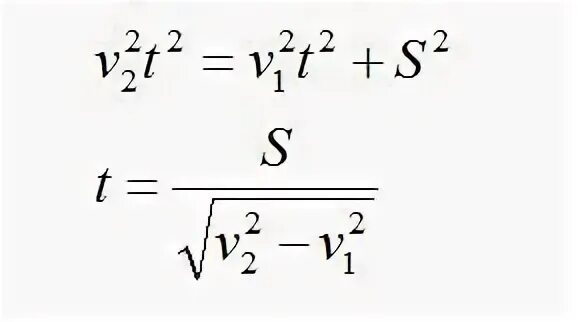
Выразите из формулы 1 a