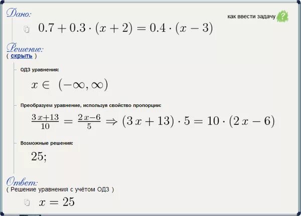
X 4 4x 3 7 0