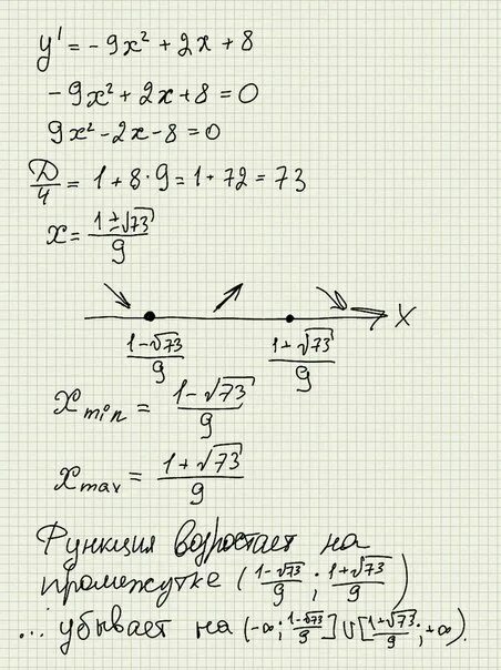
X3 x2 x 2 экстремумы функции