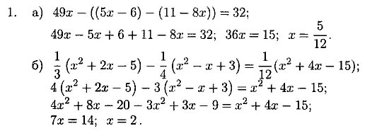
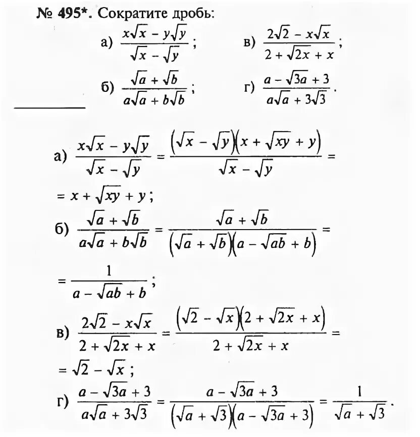
Задания по алгебре 7 класс для повторения