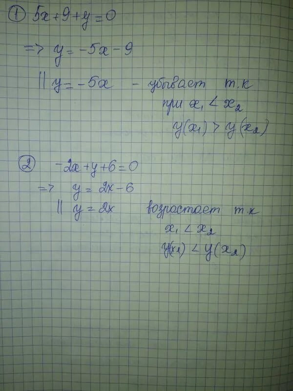
Задай линейную функцию формулой если известно