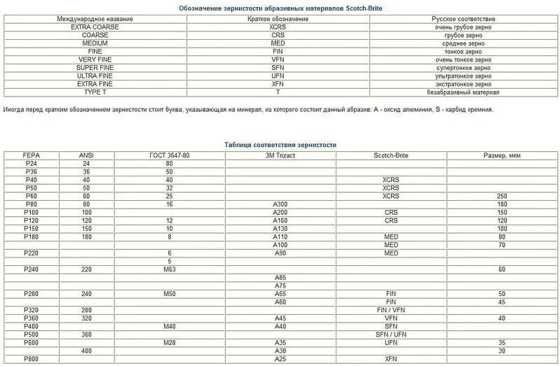
Зернистость 8