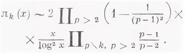
Закон распределения простых чисел